Mikyung Shin (Assistant Professor, West Texas A&M University)
Jiyeon Park (Assistant Professor, Eastern Kentucky University)
Kimberly Seale (Special Education Teacher, Model Lab School)
Contact: mikyung.shin@wtamu.edu
Slides: https://mshin77.github.io/CEC-2024
Council for Exceptional Children 2024 Annual Convention - March 14, 2024
Agenda“Technology” for Teaching Mathematics
Interactive Technology in Math
Types of Interactive Visual Models
Examples and Benefits of Interactive Visual Models
Evaluating Accessible Designs
Case Study on Synchronous Online Instruction
Three-Level Multilevel Modeling for Single-Case Data

"Technology" for Teaching Mathematics
Dataset: https://github.com/mshin77)
CAI = computer-assisted instruction; EAI = enhanced anchored instruction.
Interactive Technology in MathA dynamic visual model operational in environments like the web.
Initially developed through Flash or Java Applet programs in 1990s.
Adaptable in various forms for extension, transformation, and selection.
Can be employed for conceptual understanding in teaching and learning mathematics.
Offers interactive opportunities for diverse mathematical learning.

HTML5 was released in its public version in January 2008.
With the introduction of HTML5 web standards, became available on mobile devices.
Types of Interactive Visual ModelsExamples of Interactive Visual ModelsSource: Shin et al. (2023, p. 201)
Benefits of Interactive Visual ModelsEvaluating Accessible DesignsEvaluate instructional design features through Mathematics Application Usability Scale (MA-US)
Universal Design for Learning (UDL)
Information, Interface, and Interaction (3Is) design features

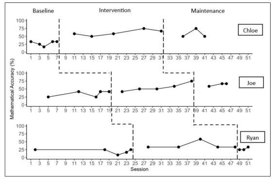
Case Study on Synchronous Online InstructionThree fifth-grade students with learning disabilities
Employing a multiple probe across participants single-case design
15 fraction lessons via video conferencing programs
Adaptation from MSTAR to Online InterventionsKey Lesson Features and ResultsVisual Analysis ResultsSource: Park et al., (2023)
Three-Level Multilevel Modeling for Single-Case Data35 studies published since 2000 on the effects of using virtual manipulatives for students with disabilities
Case-level variables: grade and disability
Study-level variables: pre-training purpose, Instructional method, type of virtual manipulative, Visual model
Source: Shin et al. (2021)
Multilevel Data StructureSingle-case design data are hierarchically structured and can be displayed using three-level multilevel modeling (Baek et al., 2022; Moeyaert et al., 2021; Pustejovsky & Ferron, 2017).
The levels examine repeated measurement occasions (Level 1) nested within cases (Level 2) and cases nested within studies (Level 3).
Applied a piecewise linear regression approach by separately modeling time trends in the baseline and intervention phases (Singer & Willett, 2003).
Level 1 equation
\[ \begin{aligned} Y_{i j k}=& \beta_{0 j k}+\beta_{1 j k} \text { Intervention }_{i j k} \\ &+\beta_{2 j k} \text { Time }_{i j k}^{\prime} \times \text { Intervention }_{i j k}+e_{i j k}\\ & \text { with } e_{i j k} \sim N\left(0, \Sigma_e\right) \end{aligned} \]
\(y_{i j k}\) = mathematical accuracy at the measurement occasion, \(i\) th \((I=0,1, \ldots I)\), for the \(j\)th case\((j=1,2, \ldots J)\) in study \(k\); \(\beta_{0 j k}\) = baseline level; \(\beta_{1 j k}\) = change in level when the intervention phase starts (immediate effect); \(\beta_{2 j k}\) = change in slope between the baseline and the intervention phase; and \(e_{i j k}\) is an error term that is assumed to be independent and is normally distributed with a mean of 0 and variance of \(\sigma^2\).
Random effects of immediate outcomes and trends during the use of virtual manipulatives were examined across various cases and studies.
The interactions between each intervention effect and its moderating variables were investigated.
Key FindingsDeviations in the moderation effects corroborate the need to examine trends during the use of virtual manipulatives, even after the immediate effects have been observed (Shin et al., 2021, p. 431)Conclusion and Future Directions![]()